私人直播-私人直播档案库

科研动态
当前位置: 主页 科学研究 科研动态 正文
    13 2024.08
私人直播 能源/环境材料精准设计和功能开发团队Angew Chem研究论文
日期:2024.08.13 点击:


 

新型螺烯共价有机框架材料实现高效光捕获和有效能量转移

螺烯(Helicenes)作为一类具有独特折叠骨架的π共轭化合物,尽管其主链的结构变化范围很广但如何将螺烯整合到聚合物主链中,构建结构明确的π结构是螺烯材料进展的关键。共价有机骨架(COFs)可以通过拓扑图进行分子设计,并通过聚合反应进行综合控制而形成结晶多孔聚合物,具有明确的多边形骨架和排列有序的孔。过去十年的化学进展极大地扩展了单体的范围,从简单的苯基衍生物到各种具有复杂骨架的π化合物。然而,探索将螺烯作为设计和构造COF的建筑单元及其性能研究仍有待进一步探索研究。

 

能源/环境材料精准设计和功能开发团队通过[6]螺烯与卟啉在溶剂热条件下拓扑定向聚合反应,所得的Im-[6]Helicene-COF-1Im-[6]Helicene-COF-2 螺烯框架表现出二维层状结构,螺烯和卟啉单元呈交替连接,沿xy方向的中心到中心距离为2 nm,同时通过反向反AA堆积沿z轴构成分离的[6]螺烯和卟啉柱状π阵列。这种π构型使得框架能够以基准量子产率高度红色发光,从[6]螺烯到卟啉的有效的框架内单重态到单重态能量转移,并促进从框架到分子氧的分子间三重态到三重态能量转移,以产生活性氧物质,收获从紫外到近红外区域的宽范围光子用于发光和光化学转化。该研究首次揭示了框架内单重态到单重态的能量转移和分子间三重态到三重态的能量转移,展示了捕光天线的发现揭示了COFs中的π单元通过电子通讯实现能量流动可以利用广泛的光子进行有效的发光和光电化学转换,同时展示了一种将[6]螺烯整合到[6]螺烯COFs中的方法。这一成果揭示了[6]螺烯可以作为一种结构单元来开发具有明确结构的螺烯材料COFs和螺烯材料领域都有很大影响。

 

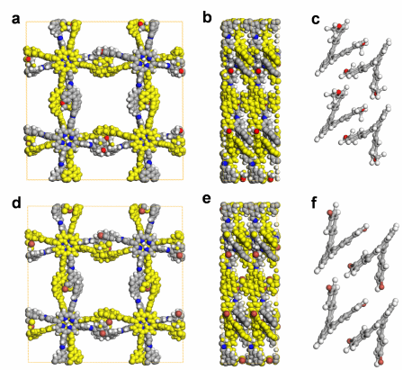
1  [6]螺烯COFs合成及结构示意图

 

2  [6]螺烯COFs晶胞结构示意图

 

3  光吸收和发射

 

4光发射和能量转移

本研究主要发现总结为以下六点。

一、 关于晶格结构[6]螺烯COFs开发了独特的双层结构,其中两个邻近的卟啉结占据两个相邻层,并且[6]螺烯连接体起到连接两层的阶梯的作用。2D晶格沿xy方向延伸,构成由两层共价互锁的波状2D晶格。由于高度扭曲的[6]螺烯骨架的1,8-位上的两个醛单元的不对称取代,这种独特的波状双层结构成为可能

二、在发光方面:Im-[6]螺烯COFs发射红光并表现出优异的荧光量子产率。这一特性与大多数亚胺连接的cof形成鲜明对比,后者发射性较低或不发射,为红光发射材料建立了一个新的平台

三、光激发方面:Im-[6]螺烯COFs在激发[6]螺烯单元时实现了从蓝色到红色的宽范围的不同发射

四、框架内单重态到单重态的能量转移:Im-[6]螺烯COFs能够实现有效的单重态到单重态的能量转导,以证明两个组分之间的框架内电子通讯。在固态和分散溶液中都发现了框架内的能量转移。

五、 关于分子间三重态到三重态的能量转移:Im-[6]螺烯COFs能够触发一系列连锁的光化学事件,从框架内的单重态到单重态的能量转移、系统间交叉和分子间三重态到三重态的能量转移。光催化反应和磷光光谱相互证实了Im-[6]螺烯COFs是用于开发高效光催化系统以产生活性氧物种的强大的光收集天线。

六、重原子效应而言:将重原子溴结合到[6]螺烯中会降低发光量子产率和单线态氧的产生。给电子甲氧基单元的引入促进了发光和光催化活性。

这一研究成果近期被发表在Angew. Chem., Int. Ed.,论文的第一作者是私人直播 硕士研究生尹聪。

研究成果得到了国家重点研究发展计划(2021YFA1200401)的资助。

Helicene Covalent Organic Frameworks for Robust Light Harvesting and Efficient Energy Transfers Cong Yin, Xingyao Ye, Shanshan Tao, Dan Zhao, Yongfeng Zhi, Donglin Jiang  Angew. Chem., Int. Ed. 2024, e202411558.

全文链接://onlinelibrary.wiley.com/doi/10.1002/anie.202411558

撰稿人:支永峰,江东林,尹聪

审核人:潘福生